Табурет – незаменимый предмет мебели. Его используют и в городских квартирах, и дачных домиках. Модели, представленные в мебельных магазинах далеко не всегда соответствуют требованиям покупателей. Одних не устраивает цена, других – внешний вид и технические характеристики.
Столкнувшись с подобной проблемой, лучшим решением станет изготовление табурета в домашних условиях. Сложного в этом практически ничего нет.

Конструкция
Табурет имеет простейшую конструкцию. Для его создания подойдут даже древесные отходы, бруски, фанера и пр. Стандартная и простейшая модель состоит из нескольких деталей, качественно подогнанных и надёжно соединенных.
Еще больше фото, а также пошаговая инструкция от мастера есть на этом сайте https://masterinterera.ru/mebel









Конструктивные элементы, зачастую, одинаковы. Чтобы сделать табурет из дерева, потребуется:
- Крышка. Она имеет круглую или квадратную форму.
- Шканты. С их помощью детали надежно фиксируются.
- Деревянные ножки.
- Дополнительно в конструкции присутствуют такие детали как «сухари», проножки и царги.

Домашним мастерам подобные названия вряд ли о чем-то говорят. Поэтому рассмотрим их детально. Все они отвечают за соединение табурета и придание ему максимальной прочности.

Царги – это дощечки или бруски, которые находятся под сиденьем. Они соединяют ножки табурета (чаще всего используется шиповое соединение) и формируют надежную опору.






«Сухари» – деревянные или металлические детали в форме уголков, которые монтируются под сиденьем на внутренних углах.

Проножки находятся по центру ножек или в нижней их части. Они соединяют их, повышают прочность и надежность всей конструкции.

Описанные детали не являются обязательными при создании табурета. Но забывать о них не рекомендуется. Они сделают изделие более надежным и безопасным.

Как сделать простейший прямоугольный табурет?
Разобравшись с конструкцией, пора приступать к непосредственному изготовлению. Рассмотрим несколько примеров. Наиболее простым считается прямоугольная модель. Хорошо подходит для маленьких комнат.

Технические характеристики данной конструкции:

Высота готового изделия – от 44 до 50 сантиметров;
- Сечение ножек: 3,5 x 3,5 или 5 x 5 сантиметров;
- Царги – 29 x 6 x 2 сантиметров;
- Распорки – 29 x 2 x 2 сантиметров;
- «Сухари» – 6 x 6 x 2 сантиметров.

Все детали необходимо подготовить заранее. Их можно сделать самостоятельно или заказать в столярной мастерской. Если хотите получить оригинальное и красивое изделие, то следует сделать фигурные или точёные ножки.









Затем идет ответственный этап. Нужно точно вымерить, в каких местах проделать отверстия для креплений. Используется метод сухой сборки. Таким образом, можно обойтись даже без клея.

Инструкция по созданию табурета с разведенными ножками
Рассмотрим пример, как сделать табурет своими руками, в котором ножки будут расходиться в разные стороны.

Ножки изготавливаем из четырех брусков. Они должны быть одинаковыми по размеру. Рекомендуется использовать пилу с угловым методом резки. Она поможет не допустить погрешностей и получить идеальные по размеру детали.

Ровно отрезаем верхушку ножек и соединяем бруски. Они должны находиться перпендикулярно по отношению к полу. Чтобы не запутаться, на внутренних углах рекомендуется делать пометки.


Из маленьких брусков делаем ножкам наружные распорки. Чтобы их надежно скрепить, проделываем отверстия по периметру. Убедитесь, что их форма соответствует шипам распорок. Во время монтажа используем столярный клей. Он повысит надежность готового изделия.

Для проножек, располагающихся по бокам, подготавливаем глухие пазы. Бруски, которые вставляются в них, надо хорошенько закрепить.

В верхнем основании размечаем отверстия и прикрепляем четыре ножки. Для этого потребуется клеевой состав и шурупы. После этого табурет нужно оставить на несколько часов, чтобы клей высох.

Делая круглый табурет своими руками можно позаботиться о дополнительном декорировании изделия. К примеру, сидение обивается поролоном и кожей (бюджетный вариант – кожзаменитель). Это сделаем его мягким и более удобным. Поролон нужно обрезать по бокам.

Желательно округлить верхние края и накрывать его обивочным материалом. Чтобы все это надежно держалось, нужно воспользоваться монтажным степлером. Скобами крепим материал к нижней части сиденья.



Также сидение можно украсить тесьмой, мехом, бахромой и т.п. Если не хватает фантазии, то посмотрите в интернете и вдохновитесь примерами фото табуретов, сделанных домашними мастерами.

Если вы не планируете обивать сидение кожей и поролоном, то качественно его зачистите наждачной бумагой, покройте морилкой и нанесите слой защитного лака. Боковые части из ДСП рекомендуется обрабатывать напильником.

Фото табуретов своими руками



























Табурет – один из популярных и удобных предметов мебели. В отличие от классического стула он имеет меньшие размеры, его можно легко перенести. Но главным преимуществом, которым обладает деревянный табурет, является возможность самостоятельного изготовления и выбор конструкции.
Последнее влияет на эксплуатационные качества и трудоемкость производства в домашних условиях.
В последнее время большую популярность приобрел детский табурет из дерева. Он обладает простой конструкцией, идеально подходит для ребенка. Но кроме него подобная мебель может использоваться взрослыми – дополнительное размещение гостей, мобильные табуретки из дерева часто берут на рыбалку, пикники.

Для анализа качеств нужно ознакомиться с популярными видами этого типа мебели. Чаще всего делают табуреты своими руками таких форм:
- Детский вариант. Характеризуется небольшими размерами, легким весом. Обязательное условие – отсутствие острых углов. Рекомендуемый материал изготовления – массивная доска. Ножки для табурета должны иметь максимальную площадь соприкосновения с полом для лучшей устойчивости.
- Складная конструкция. Она пригодится для походов, рыбалки, на даче. Сделать складной табурет сложнее, но результатом будет максимальный комфорт и мобильность.
- Для дачи. Он делается из цельного бруса, затем обрабатывается защитными составами. Эти меры необходимы для уменьшения влияния влаги и солнечного света на материал, так как он будет чаще всего находиться на улице.
- Совмещенные конструкции. Можно изготовить табурет-стремянку своими руками или сделать вместо традиционного сиденья ящик. Выбор зависит от требуемой функциональности.
У самодельной круглой табуретки лучшие эксплуатационные качества, она хорошо подходит в качестве детской. Но для постоянного сидения она не подходит. Поэтому чаще всего останавливают выбор на классической прямоугольной или квадратной форме сиденья.
В видеоматериале показано, как сделать классическую табуретку:
Обзор чертежей
На первом этапе нужно определиться с размерами. Габариты сиденья варьируются от 300*300 до 450*450 мм. Если это детский вариант – 250*250 мм. Высота напрямую зависит от роста человека и может составлять от 260 до 480 мм. В исключительных ситуациях детский стул может быть высотой 200 мм. Но это делается редко. В некоторых случаях высокие табуретки подойдут к барной стойке.

Существует множество чертежей табуретки – для новичков и профессионалов. В первом случае рекомендуется выбрать простые конструкции. Люди, имеющие навыки столярного дела останавливаются на раскладных или совмещенных (стремянка, ящик) схемах сборки.

Все чертежи условно разделяют по сложности:
- Число деталей варьируется от трех до пяти. Чем больше составляющих частей – тем устойчивей будет конструкция. Но это влияет на сложность производства.
- Материал изготовления. Проще всего сделать табурет , но в дальнейшем могут возникнуть сложности с его эксплуатацией – влияние влаги и перепад температур отразятся на внешнем виде и надежности. Рекомендуется выбирать ДСП или брус, деревянную доску.
- Доступные инструменты. Для производства табуретки из дерева потребуется минимум инструментов: рулетка, линейка, ножовка по дереву, шлифовальная шкурка, дрель или шуруповерт.

Выбор инструментов и материалов
Перед тем, как сделать табуретки из дерева, необходимо детально рассмотреть перечень материалов и инструментов. Для изделия из массива дерева потребуется минимальный набор. Важно учитывать исходное состояние материала. Проще всего сделать из фанеры своими руками, так как она легко обрабатывается, не возникнет сложностей с покраской, не нужно ошкуривать всю поверхность.

Оптимальный список инструментов: столярный угольник, рулетка, электродрель (шуруповерт), карандаш, шлифовальная машинка, конфирматы с заглушками, уголки металлические мебельные, саморезы. Для обработки листов ДСП потребуется электрический лобзик.
Кроме этого нужно изучить свойства материалов. Сделать табуретку можно из таких заготовок:
- Массив дерева и брусы. Лучший вариант для производства в домашних условиях. Рекомендуемая толщина – до 5 см. Преимущества – надежность, хорошие эстетические свойства, долговечность. Недостаток – сложность обработки, изделие нужно покрыть лаком или краской.
- ДСП. Толщина листа – 10 мм. Для изготовления потребуется три заготовки размером 400*300 мм (ножки), 300*300 мм (сиденье) и 200*120 (перемычка). Лучше использовать влагостойкий ДСП. Именно из него чаще всего делают детскую табуретку.
- Фанера. В этом случае нужно внимательно подойти к выбору модели. Рекомендуется использовать листы марок ФСФ, ФСФ-ТВ и ФК. Толщина от 10 до 18 мм. Сорт фанеры должен быть не ниже второго. Для изготовления достаточно листа с габаритами 1250*1250 мм. Желательно делать детский стул из влагостойкой фанеры.
Не обязательно использовать только древесину, удобными будут конструкции, состоящие из нескольких материалов – бруса, фанеры, ДСП. Важно иметь навыки черчения, чтобы составить правильную схему сборки.

Порядок изготовления
Сложно ли и как сделать табурет своими руками? Сначала нужно определиться с чертежом, выбрать оптимальную конструкцию. Следующий этап – подготовка материала для изготовления. Дерево, ДСП или фанера должны быть просушены, проверяется отсутствие дефектов. Затем обустраивается рабочее место, особое внимание уделяется освещению.

В качестве примера можно рассмотреть, как делать табурет из ДСП.
Этапы производства:
- Разметка листа. Это необходимо для формирования заготовок. Новичкам рекомендуется сделать лекала из бумаги или плотного картона. Так можно избежать ошибок в размерах. Важно учитывать допуски на ширину пропила.
- Формирование заготовок. Оптимальный инструмент – . Края нужно обработать наждачной бумагой или шлифовальной машинкой.
- Крепление компонентов. В зависимости от конструкции можно использовать прорезную методику, соединение мебельными уголками или на деревянные шипы. Если конструкция делается из дерева своими руками – можно применять конфирматы. Эта шурупная стяжка хорошо фиксирует различные компоненты, улучает показатели устойчивости.
- Покраска и лакировка. Финишная поверхность может быть матовой или глянцевой. Если важно сохранить изначальную текстуру – используют полупрозрачные или прозрачные лаки. Чаще всего используют акриловые составы.
- Дополнения. Часто устанавливают специальные амортизаторы на ножки. Они минимизируют появление царапин на полу, снижают шум при передвижении мебели.
Как известно, кухня – «сердце» дома, его душа. И место, которое собирает всех обитателей в дружную компанию. Вот почему так важно обустроить зону столовой особым комфортом. А помочь в этом могут удобные табуретки, размещенные вокруг стола.
Несмотря на то, что табуретка рассматривается как нечто само собой разумеющееся, любая хозяйка скажет, что хорошая мебель придает кухне особый уют, теплоту и отличное настроение обитателям дома. Поэтому к выбору стульев и табуреток следует подходить очень ответственно, принимая во внимание и общий стиль интерьера кухни, и цветовые тона, и даже мебель для кухонного уголка.
Современные технологии позволяют существенно снизить негативное воздействие от использования предметов, изготовленных из таких «модных» нынче полимерных материалов (они и легче, и веселее смотрятся, и дешевле по себестоимости), однако старую добрую древесину никто не отменял, да и сравнение с ней других материалов немыслимо. А все потому, что деревянная мебель является экологически чистым строительным материалом.
Другим преимуществом деревянной мебели является то, что она является высококачественной и имеет длительный срок эксплуатации . И что бы ни говорили производители модного «экопластика», что он «ничуть не хуже», дерево всегда будет в цене (разумеется, если это не листы ДСП или МДФ, а натуральная древесина с антисептическими пропитками).
Третье качество – ударопрочность, устойчивость к механическим повреждениям (царапинам, небольшим ударам, сколам). Конечно, это не означает, что мебель из натурального массива, к примеру, можно бить молотком, и с ней ничего не случится. Но вероятность заметных деформаций на поверхности довольно мала, если сравнивать ее с такой же мебелью из пластика.
Резные табуретки из дерева (фото)
Покупные деревянные табуретки
Плюсы
- Изделие полностью готово к эксплуатации. Это означает, что если вы не хотите возиться с самостоятельным изготовлением сидений, затрачивать материалы и свое драгоценное время, то можно купить деревянные табуретки для кухни в любом мебельном магазине. А еще там часто проводятся различные акции, распродажи, скидки и т.д.
- Также можно ознакомиться с ассортиментом через каталоги Интернет-магазинов – сегодня это очень удобно, поскольку сразу сориентирует и в финансовом плане, и в вопросе доставки, к тому же практически все вопросы можно решить, в буквальном смысле не выходя из дома. Да и заказать мебель так же, онлайн, заполнив требуемую форму заказа.
- Еще, как вариант, можно, приобрести готовую классическую табуретку самой простой конструкции и декорировать ее под общий интерьер кухни.
Минусы
- Иногда размещенный на сайте товар не соответствует тому, который привозит служба доставки. Возможны несовпадения в цветовых оттенках, размеры и даже материал (например, вместо осины привозят сосну, вместо дуба – березу и проч.). При этом доставка, как правило, оплачивается и затраты на нее не возмещаются производителем в случае отказа от покупки. Поэтому желательно проверять изделие самостоятельно.
- Что касается распродаж, тут тоже не все так гладко – зачастую подобные акции относятся к той мебели, которая уже вышла из моды, или является лежалым товаром. Хотя табуретки как предмет мебели всегда актуальны, но вот дизайн их тоже может меняться и даже выходить из моды. А вот скидка на товар чаще всего бывает тогда, когда изделие идет с какими-либо дефектами. Поэтому перед приобретением «изделия со скидкой» стоит задуматься – нужно ли вам дефектное сидение на кухне?
Креативные деревянные табуретки для кухни (фото)

- размеры табуреток — желательно подбирать сиденья с такими габаритами, которые позволят уместить все табуретки под столом. Самый идеальный размер – 300-400 мм в ширину, 290-350 мм в глубину (четырехугольные сиденья), от 300 мм в диаметре – для круглых сидений. Высота может варьироваться от 400 до 500 мм.
- форма стола – это нужно учитывать в обязательном порядке. Согласитесь, прямоугольный стол вряд ли будет смотреться на фоне круглых табуреток.
- тип сиденья – мягкое или жесткое. Тут варианты «модели» могут быть самыми разными – кому какое понравится. Кто-то подбирает жесткое сиденье, меняет мягкую подстилку каждый месяц и радуется регулярному обновлению интерьера с минимальными финансовыми затратами. А кому-то хочется постоянного комфорта – так выбор идет в пользу сидений с мягкой обивкой.
- тип обивки – как правило, подбирается моющаяся обивка (кожзам, эко-кожа, тканевая обивка с мягким моющимся ворсом).
Если хочется приобрести табуретки глубиной от 350 мм, то придется останавливаться только на «мягких» вариантах, а все потому, что подобные модели не вызывают дискомфорта при сидении за столом (особенно это относится к табуреткам прямоугольной формы) и не «врезаются» в кожу.
Цены на деревянные табуретки начинаются от 450 руб./шт – такое колебание цен зависит от вида древесины, дизайна, обивки, фирмы-производителя, типа конструкции и даже декора.
Табуретки из дерева своими руками
Плюсы
Свое всегда лучше всего, поскольку производится «для себя». Преимущество табуреток из дерева, изготовленных своими руками, очевидно: получается изделие «нужного» размера, с удобным и практичным дизайном и самой простой конструкции. К тому же затрачивается меньше денежных средств (ну, разве что на материал для изготовления), имеется возможность декорирования и широкий простор для творчества.
Равно можно и разрисовать сидение, и окрасить в однотонный цвет по собственному вкусу. А самое главное – подобные сидения всегда подойдут под любой интерьер кухни, поскольку будут изготавливаться «эксклюзивно». Да и обивку можно подобрать самим, мягкую или простую, в тон шторам и общему кухонному гарнитуру.
Цена деревянных табуреток, изготовленных своими руками, как правило, оказывается значительно ниже рыночной.
Классический табурет из массива дерева

Минусы
Минусом производства деревянных табуреток являются существенные временные затраты на их изготовление. Это утверждение скорее подходит тем, кто практически не имеет свободного времени. А также тем, кто не привык обращаться с молотком и гвоздями. Однако сегодня в строительных отделах можно найти все, что угодно – и пиломатериалы, и столярный инструмент, и средства для отделки/декора готовых табуреток. А следуя инструкции по самостоятельному изготовлению «посадочных мест», можно довольно быстро научиться делать деревянные табуретки для кухни.
Чертежи табуреток
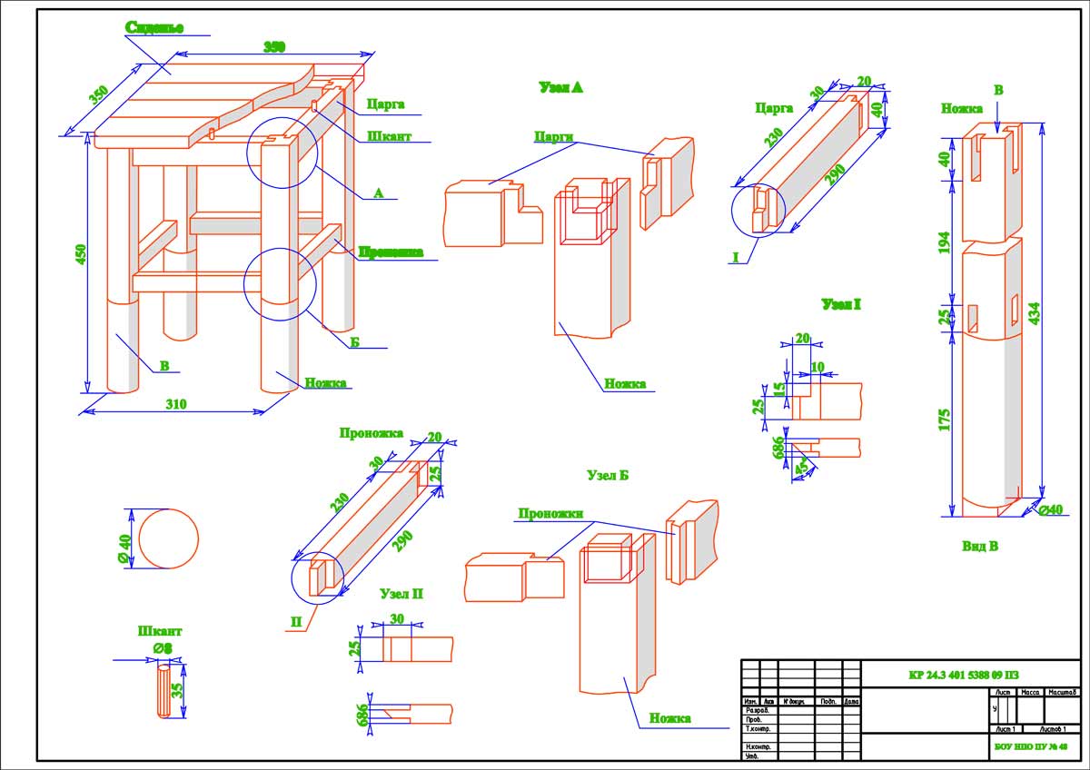
Как сделать табуретку из дерева? Поскольку изготовление классической табуретки самостоятельно сводится к нескольким этапам, рассмотрим каждый из них в общих чертах (на наглядных примерах чертежей табуреток из дерева).
Схема 1. На прямых ножках
Материал: бруски размером 60х60х400 мм – для ножек (4шт), бруски с шипами (царги) размером 25х60х260 мм (4шт), сиденье – лист фанеры размером 300х300х10 мм (1шт). Для мягкой обивки потребуется кусок поролона того же размера, что и сиденье, ткань для финишной отделки.
Инструменты: карандаш с линейкой, электролобзик, ножовка по дереву, клей, строительный степлер.
Царги изготавливаются так: с обоих концов отмеряются расстояния в 30 мм – для шипов, затем концы подпиливаются так, чтобы высота одного шипа была 50 мм. Царги готовы (это так называемые соединительные ребра жесткости для табуретки).
В брусках-ножках следует пропилить пазы для установки в них царг с шипами (предварительно пазы намечаются карандашом), затем скрепляются царги с ножками. Длина одного паза должна составлять 50 мм, глубина – до 30 мм, ширина – 10-13 мм. Расстояния от края паза до края ножки – сверху 20 мм, с боков – 10 мм.
После подготовки всех деталей начинается их сборка. Перед тем, как сажать царги в пазы, необходимо промазать и шипы, и пазы клеем ПВА – для лучшего скрепления, а потом – плотно соединить. Для большей прочности можно закрепить детали шурупами. В такой последовательности соединяются между собой все ножки табуретки.
Каркас готов, теперь осталось положить сверху сиденье и закрепить его. Лист фанеры сажается на саморезы.
Далее следует финишная отделка – можно просто покрыть специальным лаком по дереву в несколько слоев, а можно и окрасить акриловой краской на водной основе. Если же сиденье хочется обить тканью или дерматином, то перед закреплением фанерный лист сначала обивается, материал обивки крепится степлером или клеем, а затем сажается на каркас.
Это самая простая схема самостоятельного изготовления табуретки из деревянных брусков и фанеры.
Схема 2. На изгибающихся ножках
Принцип устройства конструкции тот же, с разницей формы ножек. Естественно, такие ножки не сгибают, а выпиливают электролобзиком из брусков. Придать форму ножкам табуретки можно, если использовать трафарет из плотного картона.
Табуретки из дерева с фигурными ножками в интерьере (фото)

Схема 3. Из толстых листов фанеры
Эта табуретка примечательна тем, что она является полностью сборной конструкцией. Сначала изготавливаются шаблоны на листе плотного картона (можно взять ватман формата А1), с нанесением точных размеров в масштабе 1:1. Затем шаблоны вырезаются ножницами, накладываются на фанеру (толщину фанеры принимают по принципу «чем толще, тем надежнее», однако не следует забывать и про сложность обработки листов!), обводятся карандашом.
После перенесения разметок из фанерных листов выпиливаются детали сборной конструкции, которые затем собираются наподобие детского конструктора. Все довольно легко!
По окончании сборки следует подпилить концы ножек и зашлифовать сиденье еще раз.
Декорирование табуреток для кухни
Табуретки уже готовы, но нет финишной отделки? Тут можно вволю отыграться, дав простор своей фантазии! Можно раскрасить сиденья с ножками в яркие красочные цвета (используем только акриловые краски на водной основе), а можно покрыть лаком – такие табуретки будут смотреться ничуть не хуже «раскрашенных». Можно сшить оригинальные в тон общему стилю комнаты.
Можно развить свою фантазию еще больше и нанести рисунки по трафаретам (такие продаются в строительных магазинах, в отделах декорирования мебели). А можно оклеить табуретки тканью или обоями – если у вас остался «неиспользованный лишний материал». Тут главное – фантазия, вдохновение и наличие вкуса, чтобы итог радовал хозяев, а подобный декор гармонировал с общим интерьером вашей кухни!
Мастер-класс декорирования деревянного табурета из Икеа (видео):
Приобретая мебель можно заметить явное несоответствие цен на материалы для их изготовления и конечную цену продукта. Особенно это бросается в глаза при покупке довольно простых предметов мебели, таких как табуретки.
Табуреты чаще всего делают из ДСП.
Табуреты чаще всего делают из ДСП. Это довольно дешевый материал, с ним легко работать, он прочный и прекрасно подходит для использования в закрытых помещениях. Глянув единожды на табурет из ДСП несложно понять, что сделать его своими руками довольно легко. Предлагаем ознакомиться с подробной инструкцией по изготовлению различных конфигураций табуретов в домашних условиях.

Глянув единожды на табурет из ДСП несложно понять, что сделать его своими руками довольно легко.

Сделать табурет своими руками можно, имея под рукой профессиональные и непрофессиональные элементы и приспособления.

К обязательным инструментам относятся:
- электрический лобзик, в комплекте с мелкой пилкой;
- шуруповерт.

Для декорирования сиденья табурета можно также приготовить поролон и обивочные материалы.
Также может понадобиться дрель со сверлом и степлер, строительного назначения.

Обивка может быть тканевой, клеенчатой, дерматиновой.

Для упрощения задачи по сборке предварительно можно склеивать детали, а уж потом закреплять их саморезами.
Материалы для изготовления:
- листы ДСП, новые, некондиция или оставшиеся запчасти от старой мебели;
- саморезы, длиной не более толщины ДСП;
- конфирматы 4 штуки. Размером 6,4 мм на 50 мм;
- металлические уголки 4 штуки;
- лента клейкая для обработки кромки листов;
- подпятники из любых приемлемых материалов;
- наждачная бумага для шлифовки.

Создание табурета из ДСП своими руками позволяет мастеру не ограничивать себя стандартными моделями.
Инструменты непрофессиональные, которые найдутся в любом доме:
- карандаш или маркер;
- картон для изготовления шаблонов;
- линейка или рулетка;
- нож любой конфигурации, главное острый.

Казалось бы, простая конструкция табурета насчитывает несколько десятков различных моделей.

Части табурета собираются при помощи конфирматов и саморезов.
Для декорирования сиденья табурета можно также приготовить поролон и обивочные материалы. Обивка может быть тканевой, клеенчатой, дерматиновой.

Наглядные примеры можно посмотреть в мебельных магазинах, у соседей или в интернете.
Создаем проект
Создание табурета из ДСП своими руками позволяет мастеру не ограничивать себя стандартными моделями. Казалось бы, простая конструкция табурета насчитывает несколько десятков различных моделей. Наглядные примеры можно посмотреть в мебельных магазинах, у соседей или в интернете.

Обычно табуреток необходимо сразу несколько штук, поэтому крайне важно выбрать одну понравившуюся форму и сделать по выбранному чертежу идентичные предметы.

Приступая к окончательной сборке деталей необходимо предварительно обработать все срезанные кромки специальной лентой.
Обычно табуреток необходимо сразу несколько штук, поэтому крайне важно выбрать одну понравившуюся форму и сделать по выбранному чертежу идентичные предметы. При изготовлении чертежа важно помнить, что конструкция табуретки требует четкого соблюдения баланса между нижней и верхней ее частью. Несовпадение размеров сиденья и ширины ножек может привести к дисбалансу, в результате чего предмет будет весьма неустойчив, а потому травмоопасен.

При изготовлении чертежа важно помнить, что конструкция табуретки требует четкого соблюдения баланса между нижней и верхней ее частью.
Выбираем материал для изготовления
Табуреты можно изготавливать из разных материалов. Подойдет ДСП, многослойная фанера, деревянные бруски и доски. Самый дешевый и незатейливый в работе материал – это ДСП. Листы можно приобрести в магазине, на мебельных фабриках или купить обрезки у мелких фирм, изготавливающих мебель на заказ. Подойдут также листы старого ДСП, которые ранее были частями иной мебели.

Несовпадение размеров сиденья и ширины ножек может привести к дисбалансу, в результате чего предмет будет весьма неустойчив, а потому травмоопасен.

Последним штрихом в подготовке перед сборкой будет сверление необходимых отверстий.
Наносим графическую разметку

Табуреты можно изготавливать из разных материалов.
Определившись с моделью будущей табуретки необходимо разметить лист ДСП, подготовив его тем самым для дальнейшей работы. Если планируется сделать несколько идентичных табуретов, то лучше сделать лекало для всех частей мебели. Шаблон удобно изготавливать из плотного картона.
Для дальнейшего удобства эксплуатации изготовленной мебели следует закруглять углы деталей. Выполнить ровные закругления лучше при помощи циркуля. Отсутствие данного предмета может быть компенсировано, например тарелкой, подходящего диаметра.

Самый дешевый и незатейливый в работе материал – это ДСП.

Высокая скорость обеспечит обрезку листов без сколов и зазубрин.
После обрезки необходимо зачистить все кромки табурета наждачной бумагой.
В зависимости от выбранной формы и модели размеры элементов могут быть следующими.
№п/п Модель табурета Размеры сиденья Размеры ножек Размер перекладины
- 1 30х30 30х40 20х12
- 2 30х40 30х40 30х15
- (3 штуки)
- 3 40х40 20х35 (8 штук) 30х20
- (4 штуки)

Подойдут также листы старого ДСП, которые ранее были частями иной мебели.
Вырезаем элементы для будущего табурета

Главное заранее определиться с количеством штук готовых изделий, и рассчитать необходимые объемы материалов.

Вырезание элементов из имеющихся кусков ДСП производиться при помощи электрического лобзика.
Вырезание элементов из имеющихся кусков ДСП производиться при помощи электрического лобзика. Сделать хороший срез кромки можно при помощи мелкой пилки и высокой скорости работы лобзика. Высокая скорость обеспечит обрезку листов без сколов и зазубрин.
После обрезки необходимо зачистить все кромки табурета наждачной бумагой. Такая обработка обеспечит хорошее прилегание одной детали к другой и упростит сборку.
Последним штрихом в подготовке перед сборкой будет сверление необходимых отверстий. Следите за тем, чтобы отверстия сверлились на одном уровне.

Определившись с моделью будущей табуретки необходимо разметить лист ДСП, подготовив его тем самым для дальнейшей работы.
Собираем табуретку
Приступая к окончательной сборке деталей необходимо предварительно обработать все срезанные кромки специальной лентой. Ленту необходимо выбирать под цвет листа или наоборот контрастных оттенков.
Лента прикладывается к срезу ножек и сиденья и приклеивается при помощи горячего утюга. Утюг необходимо прикладывать быстрыми и короткими движениями. Теплую ленту следует придавливать чистой тряпочкой. Клей, который находится на оборотной стороне ленты, очень быстро схватывается и не требует длительного разогрева или остывания.
Части табурета собираются при помощи конфирматов и саморезов. Для упрощения задачи по сборке предварительно можно склеивать детали, а уж потом закреплять их саморезами.
Сиденье получившегося стула можно сделать мягким за счет поролона и обивочного материала.

Для дальнейшего удобства эксплуатации изготовленной мебели следует закруглять углы деталей.

Выполнить ровные закругления лучше при помощи циркуля.
ВИДЕО: Табуреты из обрезков ДСП, своими руками.
50 фото-идей как сделать табурет своими руками из дсп



Как раз из числа тех вещей, которые делаются за 15 минут, а служат потом годами. Причём сам мастер-класс писать и читать даже дольше, чем её делать. Поэтому мой сын (мальчику 11 лет), решил сделать её самостоятельно, правда, под моим чутким руководством. Но только в качестве консультанта и фотографа.
Итак, простая табуретка. Для неё нам потребуется всего четыре куска ДСП:
Два на ножки, 200 на 250 мм;
Одна верхняя часть – 250 на 300 мм;
И одна распорка 90 на 200 мм.
Всё это я не покупал и не заказывал. А в цехах, где раскраивают большие листы, остаётся много ненужных обрезков. Вот их, «за спасибо», я и набрал вдоволь, а теперь из них должна получиться удобная табуретка, сделанная своими руками.
Кроме этого нужно будет простое приспособление для оклейки деталей кромкой (без него тоже можно, просто так удобней),
![]()
сама кромка,
![]()
утюг,
![]()
нож,
![]()
кусок наждачной бумаги, закреплённый на брусочке,
![]()
бита-шестигранник для конфирматов,
![]()
свёрла (на семь миллиметров и конфирматное),
![]()
«его величество» шуруповёрт,
![]()
четыре конфирмата,
![]()
пять чопиков,
![]()
небольшой молоток и/или резиновая киянка,
![]()
столярный клей ПВА,
![]()
и четыре ножки.
![]()
Всё это у меня просто было дома, а вам, возможно, придётся прогуляться в магазин мебельной фурнитуры. Теперь приступаем к изготовлению табуретки своими руками.
Для начала обклеим заготовки кромкой. Это очень просто, поэтому горячий утюг вам в помощь. Можете использовать любой, даже одолжить особо модный у супруги, тайком. Всё равно она не заметит, а вы никак его не испортите. Итак, кромку для нашей табуретки хенд-мейд приклеиваем раскалённым утюгом (несколько секунд будет достаточно) и растираем клеевую основу тряпкой. Кромка очень горячая, поэтому не обожгитесь.
![]()
Обрезайте излишки, и оклеивайте детали с другой стороны. Потом для самоуспокоения пройдитесь наждачной бумагой по торцам.
![]()
Теперь двумя конфирматами прикручиваете одну ножку к поперечной планке,
![]()
а затем и другую. Основа для нашей самодельной табуретки готова.
![]()
В крышке засверливате пять отверстий. Не насквозь, а в потай,
![]()
и на клею забиваете шканты. Крышка для нашей простенькой табуретки уже готова.
![]()
Отмечаете пять отверстий, засверливаете и их, заливаете клей, и соединяете обе части в единое целое. Табуретку сделали,






